2025년 후원금품 수입 및 사용 내역 공지 > 공지사항


정보마당

일하는 100세 아름다운 시니어

예천시니어클럽

공지사항

공지사항

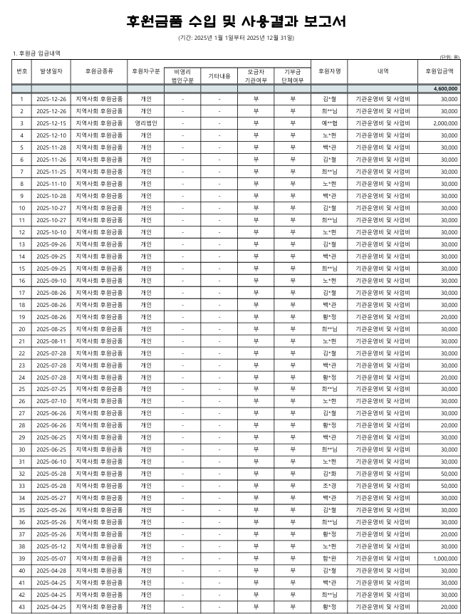
2025년 후원금품 수입 및 사용 내역 공지


페이지 정보

작성자 관리자 작성일26-04-13 13:25 조회56회 댓글0건

본문



 

댓글목록

등록된 댓글이 없습니다.


  • 고용복지센터
  • 한국시니어클럽협회
  • 예천
  • 고용노동부
  • 한국노인인력개발원
  • 대한불교조계종 직지사
  • 직지사 노인요양원
  • 경상북도북부노인보호전문기관
  • 경상북도서부노인보호전문기관
  • 보건복지부
이전
다음
경북 예천군 예천읍 군청앞길 2, 3층      Tel.054-655-6099
Copyright ⓒ 2021 YECHON SENIOR CLUB. All rights reserved.